


玫瑰在中国已有2000多年的栽培和广泛分布历史,具有较强的生理活性,包括抗氧化、抗癌和抗抑郁等作用。然而,玫瑰易受病虫害侵袭,并且缺乏已登记可用的农药。硒作为一种植物健康激活剂,在分子、遗传、生化以及作物健康和植物保护领域的应用中获得了新的认识。由于硒在调控作物生长与代谢方面的研究尚不充分,探究有机硒在作物中的有效浓度至关重要。
2025年5月,山东省农业科学院在期刊Journal of Hazardous Materials上发表了一篇题为“Effects of Organic Selenium on Metabolic Responses and Disease Resistance in Rose Plants”的研究成果。本研究通过测定生理指标、结合转录组与代谢组分析,探究有机硒对玫瑰生长和代谢的影响。此外,文章还探讨了硒是否可作为生物刺激素提高抗病性。研究结果旨在为硒肥在绿色农业生产及优质农产品生产中的应用提供科学理论依据。

文章题目:Effects of Organic Selenium on Metabolic Responses and Disease Resistance in Rose Plants
期刊名称:Journal of Hazardous Materials
影响因子:11.3
发表时间:2025年5月
研究物种:玫瑰
研究方法:转录组+非靶代谢组+植物激素
研究思路:

1. 试验材料与处理:选用24盆未开花玫瑰,均分3组(CK/低L/高H),开花前叶面喷施有机硒肥;4天后收集花、叶样品,液氮研磨后-80℃保存,同时记录花芽和花冠数量。
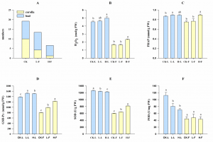
2. 抗氧化系统指标测定:采用试剂盒检测花、叶中POD、SOD、GSH-Px酶活,H₂O₂含量及FRAP抗氧化能力;同时测定黄酮、总酚、花青素、抗坏血酸、氨基酸、叶绿素等抗氧化物质含量。
3. 植物激素检测:通过HPLC-MS/MS法,经80%甲酸甲醇提取、超声、离心、过滤后,检测花、叶中JA、SA、ABA、BRs、Me-JA等激素含量。
4. 转录组分析:提取样品总RNA,构建cDNA文库并经Illumina NovaSeq 6000平台PE150测序;过滤得到clean data后与参考基因组比对,以FC≥1.5、FDR<0.01筛选DEGs,进行GO、KEGG功能富集及聚类分析。
5. 代谢组分析:70%甲醇提取样品代谢物,经超低温超声、离心、过滤后,通过UHPLC-Q Exactive-MS/MS检测;经Compound Discoverer处理数据,结合PCA、OPLS-DA,以VIP≥1、|log2FC|≥0.58、p<0.05筛选DAMs,进行物质鉴定与通路分析。
6. 多组学联合分析:将转录组DEGs与代谢组DAMs映射到KEGG通路,筛选p<0.05的通路,解析基因-代谢物的调控关联。
7. 数据统计与绘图:采用SigmaPlot绘图,R、SIMCA进行多元统计分析,SPSS 20.0通过单因素ANOVA和Tukey’s t-test检验差异显著性(p<0.05),所有实验设3次生物学重复。
硒(Se)因能有效诱导作物产生抗病性而被广泛研究,然而有机硒对植物免疫和开花的影响仍知之甚少。本研究采用生理、转录组和代谢组学研究方法,探究了有机硒对玫瑰植株的作用效应。研究发现,有机硒会抑制玫瑰的花芽形成与花冠舒展,茉莉酸(JA)、谷胱甘肽(GSH)等单一代谢物对开花过程存在显著调控作用。随着硒浓度升高,花朵中脱落酸(ABA)和茉莉酸(JA)的含量也随之增加。此外,硒可上调戊糖磷酸途径相关基因的表达(如galm基因、idnk基因),同时也能上调葡萄糖酸、葡萄糖等成花诱导早期信号代谢物的水平;研究还发现植物激素可调控糖代谢,这将硒诱导的代谢变化与开花过程关联起来。
施硒还会改变亚油酸和α-亚麻酸的代谢过程,进而影响茉莉酸的合成,编码脂氧合酶2S(LOX2S)和丙二烯氧化物合成酶(AOS)的关键基因表达均显著上调。本研究还发现提升植株抗病性的代谢物会抑制开花过程,这表明开花异常可能是植物的一种抗逆响应。低浓度硒还能促进玫瑰的光合作用,表现为编码烟酰胺腺嘌呤二核苷酸脱氢酶、petA、Ppa、petC、petH 及 ATPF1G的基因表达上调。同时,硒可调控抗氧化酶、植物激素及关键代谢物的水平,而这些物质均是调控植物抗病性的重要信号分子。本研究结果为有机硒在绿色农业中的应用及作物健康水平的提升提供了科学依据。

图1 有机硒对玫瑰开花及抗氧化化合物的影响

图2 有机硒对植物初级和次级代谢的影响

图3 有机硒处理对玫瑰叶片和花朵中植物激素积累的影响

图5 硒干预对玫瑰植物代谢组及主要代谢物的影响

图6 有机硒介导玫瑰抗病性增强的机制研究